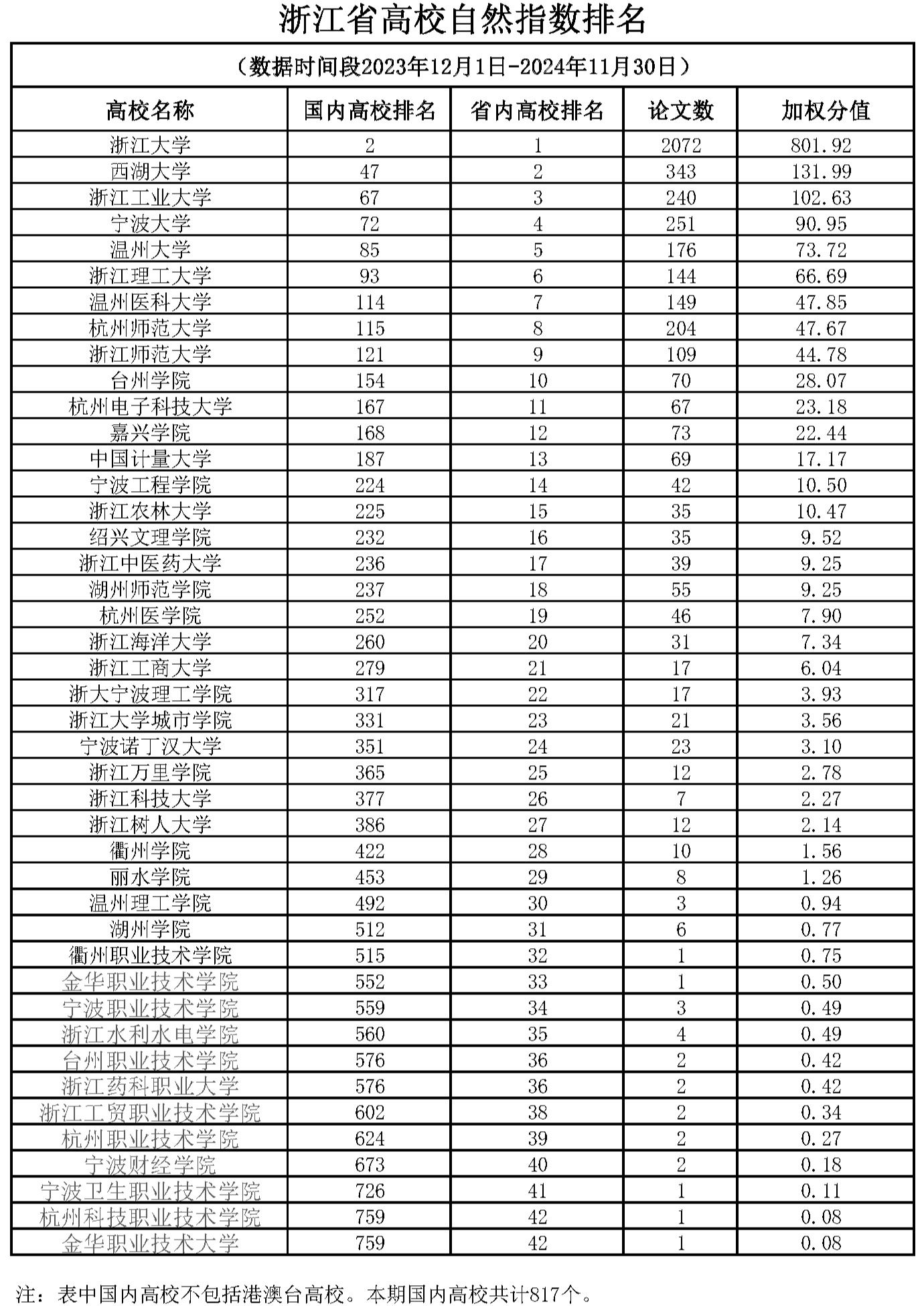
浙江省高校自然指数排名(2023年12月1日-2024年11月30日)
来源:图书馆 作者: 发布时间:2025-02-27 浏览次数:[ ]次
上一条:浙江省高校自然指数排名(2024年1月1日-2024年12月31日)
下一条:浙江省高校自然指数排名(2023年11月1日-2024年10月31日)


上一条:浙江省高校自然指数排名(2024年1月1日-2024年12月31日)
下一条:浙江省高校自然指数排名(2023年11月1日-2024年10月31日)
新闻公告
更多
地址:温州市瓯海区茶山高教园区 电话:0577-86689650 0577-86689669 邮箱:wdtsg@wzu.edu.cn
版权所有 © 温州大学图书馆 浙ICP备07006821号 技术支持:捷点科技

EN
温大首页
馆长信箱
统一身份认证
VPN接入校园